Dr Benjamin Lugu
  • 🏠 Home
  • 🎓 Teaching
  • 📚 Publications
  • 📝 Blog
Categories
All (5)
Article (5)
Cognitive Diagnosis Models (1)
Item Response Theory (1)
Mokken Scale Analysis (3)
Structural Equation Modeling (1)
Survey Research (1)

Blog

A cognitive diagnosis model for disengaged behaviors

Cognitive Diagnosis Models
Article
Cognitive diagnosis assessments are frequently used for formative purposes. Due to the low-stakes nature of these assessments, students may exhibit disengaged behaviors…
Jul 1, 2025
Benjamin Lugu, Wenjing Guo, Wenchao Ma

Combining Mokken Scale Analysis with Rasch Measurement Theory to Explore Differences in Measurement Quality Between Subgroups

Mokken Scale Analysis
Article
Mokken Scale Analysis (MSA) is a nonparametric approach that offers exploratory tools for understanding the nature of item responses while emphasizing invariance…
Aug 16, 2024
Stefanie A. Wind, Benjamin Lugu, Yurou Wang

Combining Nonparametric and Parametric Item Response Theory to Explore Data Quality: Illustrations and a Simulation Study

Mokken Scale Analysis
Item Response Theory
Article
Researchers who use measurement models for evaluation purposes often select models with stringent requirements, such as Rasch models, which are parametric. Mokken Scale…
Apr 24, 2024
Stefanie A. Wind, Benjamin Lugu

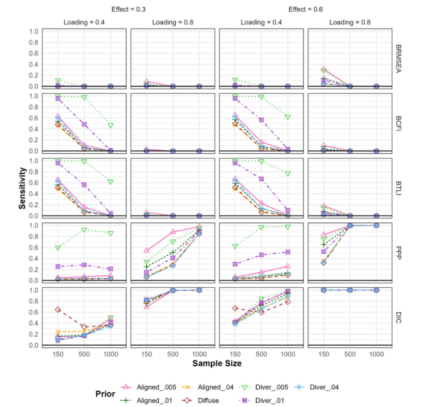
The Sensitivity of Bayesian Fit Indices to Structural Misspecification in Structural Equation Modeling

Structural Equation Modeling
Article
This study examined the false positive (FP) rates and sensitivity of Bayesian fit indices to structural misspecification in Bayesian structural equation modeling. The impact…
Oct 12, 2023
Chunhua Cao, Benjamin Lugu, Jujia Li

A sequential Moken scaling approach to evaluate response quality in survey research

Mokken Scale Analysis
Survey Research
Article
Careless responding, where participants do not fully engage with item content, is pervasive in survey research. Left undetected, carelessness can compromise the…
Jun 13, 2023
Stefanie A. Wind, Benjamin Lugu, Yurou Wang
No matching items
Benjamin Lugu ©

Built with Quarto